Original Author: @BlazingKevin_, the Researcher at Movemaker
In the cryptocurrency asset market, traders often encounter two typical problems: first, there is a significant gap between the highest bid and the lowest ask price of the target trading token; second, after submitting a large market order, the asset price experiences drastic fluctuations, leading to a transaction price that deviates significantly from expectations, resulting in high slippage costs. Both phenomena are caused by the same fundamental factor—insufficient market liquidity. The core market participants who systematically address this issue are market makers.
The precise definition of a market maker is a professional quantitative trading firm whose core business is to continuously and simultaneously submit dense buy (Bid) and sell (Ask) quotes around the current market price of an asset on the exchange's order book.
Their fundamental function is to provide continuous liquidity to the market. Through bilateral quoting behavior, market makers directly narrow the bid-ask spread and increase the depth of the order book. This ensures that the buying and selling intentions of other traders can be matched with orders instantly at any point in time, allowing trades to be executed efficiently and at a fair price. As compensation for this service, market makers' profits come from the small price differences obtained from massive trades and the rebates paid by exchanges to incentivize liquidity provision.
The market conditions of 1011 have made the role of market makers the focus of market discussions. When prices experience extreme volatility, a key question arises: Are market makers passively triggering a chain liquidation, or are they actively withdrawing liquidity quotes as risks escalate?
To analyze the behavioral patterns of market makers in similar situations, it is necessary to first understand the basic principles of their operations. This article aims to systematically answer the following core questions:
- What is the business model that market makers rely on for profit?
- What quantitative strategies do market makers adopt to achieve their business objectives?
- When market volatility increases and potential risks arise, what risk control mechanisms do market makers activate?
Based on clarifying the above questions, we will be able to infer more clearly the behavioral logic and decision-making trajectory of market makers in the 1011 market.
Basic Profit Model of Market Makers
1.1 Core Profit Mechanism: Spread Capture and Liquidity Rebates
To understand the behavior of market makers in the market, it is essential to know their most fundamental source of profit. Market makers provide continuous bilateral quotes (i.e., "making a market") on the exchange's order book, and their profits mainly consist of two parts: capturing the bid-ask spread and earning liquidity rebates from the exchange.
To illustrate this mechanism, we construct a simplified contract order book analysis model.

Source: Movemaker
Assume there is an order book with the following distribution of buy and sell orders:
- Bids: Densely distributed at price levels of $1000.0, $999.9, $999.8, etc.
- Asks: Densely distributed at price levels of $1000.1, $1000.2, $1000.3, etc.
At the same time, we set the following market parameters:
- Taker Fee: 0.02%
- Maker Rebate: 0.01%
- Minimum Price Increment: $0.1
- Current Spread: The difference between the best bid ($1000.0) and the best ask ($1000.1) is $0.1.
1.2 Trading Process and Cost-Benefit Analysis
Now, we will break down the profit process of market makers through a complete trading cycle.
Step One: Market Maker's Buy Order is Passively Executed (Taker Sells)

Source: Movemaker
- Event: A trader (Taker) sells a contract at market price, and this order is executed against the best limit buy order on the order book, which is the buy order placed by the market maker at $1000.0.
- Nominal Cost: From the trading record, it appears that the market maker has established a long position in a contract at a price of $1000.0.
- Effective Cost: However, since the market maker is the liquidity provider (Maker), this transaction incurs no fees and earns a rebate of 0.01% from the exchange. In this case, the rebate amount is $1000.0 * 0.01% = $0.1. Therefore, the actual cash outflow (effective cost) for the market maker establishing this long position is: $1000.0 (nominal cost) - $0.1 (rebate) = $999.9.
Step Two: Market Maker's Sell Order is Passively Executed (Taker Buys)
- Event: A trader (Taker) buys a contract at market price, and this order is executed against the best limit sell order on the order book, which is the sell order placed by the market maker at $1000.1. This action closes the long position established by the market maker in Step One.
- Nominal Income: The trading record shows that the market maker sells at a price of $1000.1.
- Effective Income: Similarly, as a liquidity provider, the market maker again earns a rebate of 0.01% on this sell transaction, amounting to $1000.1 * 0.01% ≈ $0.1. Therefore, the actual cash inflow (effective income) for the market maker closing the position is: $1000.1 (nominal income) + $0.1 (rebate) = $1000.2.
1.3 Conclusion: Composition of Real Profit
By completing this buy and sell cycle, the total profit for the market maker from a single transaction is:
Total Profit = Effective Income - Effective Cost = $1000.2 - $999.9 = $0.3
Thus, it can be seen that the market maker's real profit is not merely the visible $0.1 nominal spread on the order book. The composition of their real profit is:
Real Profit = Nominal Spread + Buy Rebate + Sell Rebate
$0.3 = $0.1 + $0.1 + $0.1
This model of accumulating small profits through countless repetitions of the above process in high-frequency trading constitutes the most basic and core profit model of market maker operations.
Dynamic Strategies and Risk Exposure of Market Makers
2.1 Challenges to the Profit Model: Directional Price Movements
The effectiveness of the basic profit model described above relies on the premise that market prices fluctuate within a narrow range. However, when the market experiences a clear one-sided directional move, this model faces severe challenges and exposes market makers to a core risk—adverse selection risk.
Adverse selection refers to the situation where, when new information enters the market causing the fair value of an asset to change, informed traders selectively execute trades against the market maker's quotes that have not yet been updated and are at "incorrect" price levels, causing the market maker to accumulate unfavorable positions.
2.2 Scenario Analysis: Strategic Choices in Response to Price Declines
To illustrate this, we continue with the previous analysis model and introduce a market event: the fair price of the asset rapidly drops from $1000 to $998.0.

Source: Movemaker
Assuming the market maker only holds a long contract established in a previous trade with an effective cost of $999.9. If the market maker takes no action, their buy order placed around $1000.0 will present a risk-free profit opportunity for arbitrageurs. Therefore, once a directional price movement is detected, the market maker must respond immediately, with the primary action being to actively withdraw all buy orders close to the old market price.
At this point, the market maker faces a strategic choice, with the following three options:
- Option One: Close Position Immediately, Realizing a Loss The market maker can choose to sell the long contract at market price immediately. Assuming the transaction occurs at $998.0, the market maker must pay a 0.02% taker fee.
- Loss = (Effective Cost - Exit Price) + Taker Fee
- Loss = ($999.9 - $998.0) + ($998.0 × 0.02%) ≈ $1.9 + $0.2 = $2.1
- The purpose of this option is to quickly eliminate risk exposure, but it will immediately incur a certain loss.
- Option Two: Adjust Quote, Seek Better Exit Price The market maker can lower their sell quote to a price near the new market fair value, such as $998.1. If this sell order is executed, the market maker will receive a rebate as the maker.
- Loss = (Effective Cost - Exit Price) - Maker Rebate
- Loss = ($999.9 - $998.1) - ($998.1 × 0.01%) ≈ $1.8 - $0.1 = $1.7
- This option aims to exit the position with a smaller loss.
- Option Three: Widen the Spread, Manage Existing Position The market maker can adopt an asymmetric quoting strategy: adjusting the sell quote to a relatively unattractive price level (e.g., $998.8), while placing new buy orders at lower price levels (e.g., $998.0 and $997.9). The goal of this strategy is to manage and reduce the average cost of the existing position through subsequent trades.
2.3 Strategy Execution and Inventory Risk Management
Assuming a "single market maker" market structure, where they have absolute pricing power, the market maker is likely to choose Option Three to avoid realizing an immediate loss. In this option, since the sell order price ($998.8) is significantly above the fair price ($998.0), its probability of execution is low. Conversely, the buy orders closer to the fair price ($998.0) are more likely to be executed by sellers in the market.
Step One: Reduce Average Cost by Increasing Holdings
- Event: The buy order placed by the market maker at $998.0 is executed.
- Effective Cost of New Position: $998.0 - (998.0 × 0.01%) ≈ $997.9
- Updated Total Position: The market maker now holds two long contracts, with a total effective cost of $999.9 + $997.9 = $1997.8.
- Updated Average Cost: $1997.8 / 2 = $998.9
Step Two: Adjust Quotes Based on New Cost
Through the above operations, the market maker successfully reduced the breakeven point of its long position from $999.9 to $998.9. Based on this lower cost basis, the market maker can now more aggressively seek selling opportunities. For example, it can significantly lower the sell quote from $998.8 to $998.9, achieving breakeven while narrowing the spread from the previous $1.8 ($999.8 - $998.0) to $0.8 ($998.8 - $998.0) to attract buyers.
2.4 Limitations of the Strategy and Exposure to Risks
However, this strategy of diluting costs through increased holdings has obvious limitations. If the price continues to decline, for example, crashing from $1000 to $900, the market maker will be forced to keep increasing its holdings while incurring ongoing losses, which will sharply amplify its inventory risk. At that point, continuing to widen the spread will lead to a complete halt in trading, creating a vicious cycle that ultimately forces the market maker to liquidate at a significant loss.
This raises a deeper question: how do market makers define and quantify risk? What core factors are associated with different levels of risk? Answering these questions is key to understanding their behavior in extreme markets.
Core Risk Factors and Dynamic Strategy Formulation
The profit model of market makers essentially involves taking on specific risks in exchange for returns. The losses they face primarily stem from significant adverse deviations in asset prices in the short term that negatively impact their inventory positions. Therefore, understanding their risk management framework is crucial for analyzing their behavioral logic.
3.1 Identification and Quantification of Core Risks
The risks faced by market makers can be summarized into two interrelated core factors:
- Market Volatility: This is the primary risk factor. Increased volatility means that the likelihood and magnitude of price deviations from the current mean are both rising, directly threatening the inventory value of market makers.
- Speed of Mean Reversion: This is the second key factor. Whether prices can return to equilibrium levels in a short time after a deviation determines whether market makers can ultimately profit by averaging down costs or will fall into continuous losses.
A key observable indicator for assessing the likelihood of mean reversion is trading volume. In the author's article published on April 22 this year, titled "Review of Intensified Market Divergence: Is the Rebound Turning into a Reversal or a Second Distribution in a Downtrend?", the theory of marbles in the order book was mentioned. Different price limit orders form uneven layers of glass based on order volume, and the fluctuating market is like a marble. We can view the limit orders at different price levels on the order book as "liquidity absorption layers" of varying thickness.
Short-term price fluctuations in the market can be seen as a marble of impact force. In a low trading volume environment, the impact force is weak, and prices are usually confined to narrow movements between the densest liquidity layers. In a high trading volume environment, the impact force increases, enough to penetrate multiple layers of liquidity. The consumed liquidity layers are difficult to replenish instantly, especially in a one-sided market, which can lead to prices moving continuously in one direction, reducing the probability of mean reversion. Therefore, trading volume per unit time is an effective proxy indicator for measuring the intensity of this impact force.
3.2 Dynamic Strategy Parameterization Based on Market Conditions

Source: Movemaker
Based on the performance of volatility over different time scales (intraday vs. daily), market makers dynamically adjust their strategy parameters to adapt to different market environments. Their basic strategies can be summarized into the following typical states:
- In a Stable Market, when both intraday and daily price fluctuations are low, market makers adopt a highly aggressive strategy. They will use large orders with extremely narrow spreads, aiming to maximize trading frequency and market share to capture as much volume as possible in a low-risk environment.
- In a Range-Bound Market, when prices exhibit high intraday volatility but low daily volatility, market makers have high confidence in short-term mean reversion. Therefore, they will widen the spread to achieve higher profits per trade while maintaining a large order size, ensuring they have enough "ammunition" to average down costs during price fluctuations.
- In a Trending Market, when prices are stable intraday but show a clear one-sided trend daily, the risk exposure for market makers increases sharply. At this point, the strategy shifts to defense. They will use extremely narrow spreads and small orders, aiming for quick transactions to capture liquidity and be able to exit quickly to stop losses when the trend is unfavorable to their inventory, avoiding confrontation with the long-term trend.
- In an Extremely Volatile Market (Crisis State), when both intraday and daily volatility intensify, risk management takes precedence for market makers. The strategy becomes extremely conservative, as they will significantly widen the spread and use small orders to manage inventory risk in a very cautious manner. In this high-risk environment, many competitors may withdraw, leaving potential opportunities for market makers capable of managing risk.
3.3 Core of Strategy Execution: Fair Price Discovery and Spread Setting
Regardless of the market state, the execution of market maker strategies revolves around two core tasks: determining the fair price and setting the optimal spread.
- Determining the Fair Price: This is a complex issue with no single correct answer. If the model is incorrect, the market maker's quotes will be "eaten" by more informed traders, leading to systematic accumulation of losing positions. Common foundational methods include using aggregated index prices from multiple exchanges or taking the midpoint of the current best bid and ask prices. Ultimately, regardless of the model used, market makers must ensure their quotes are competitive in the market and can effectively clear inventory. Holding large amounts of one-sided positions for extended periods is the primary cause of significant losses.
- Setting the Optimal Spread: The difficulty of setting the spread is even greater than discovering the fair price, as it is a dynamic, multi-party game process. Overly aggressive narrowing of the spread can lead to a "competitive equilibrium trap": while it can secure the optimal quoting position, profit margins are compressed, and once prices move, it is easy to be executed first by arbitrageurs. This requires market makers to build a more intelligent quantitative framework.
3.4 A Simplified Quantitative Framework for Optimal Spread
To clarify its internal logic, we reference a simplified model constructed by author David Holt on Medium, deriving the optimal spread under a highly idealized assumption.
- A. Core Assumptions and Volatility Calculation: Assume that market prices follow a normal distribution in the short term, with a sampling period of 1 second, examining the past 60 seconds of sample data. It is calculated that the standard deviation (σ) of the marked prices relative to the average midpoint in this sample is $0.4. This means that, for about 68% of the time, the price in the next second will fall within the range of [mean - $0.4, mean + $0.4].

Source: Idrees
- B. Correlating Spread, Probability, and Expected Returns: Based on this, we can deduce the probabilities of different spreads being executed and calculate their expected returns. For example, if a spread of $0.8 is set (i.e., placing orders $0.4 on either side of the mean), the price must fluctuate at least one standard deviation to reach the orders, with a probability of about 32%. Assuming each transaction captures half a spread ($0.4), the expected return per time period is approximately $0.128 (32% × $0.4).

Source: Zhihu
- C. Finding the Optimal Solution: By iteratively calculating different spreads, we find that: a spread of $0.2 has an expected return of about $0.08; a spread of $0.4 has an expected return of about $0.122; a spread of $0.6 has an expected return of about $0.135; and a spread of $0.8 has an expected return of about $0.128. The conclusion is that under this model, the optimal spread is $0.6, meaning placing orders at a distance of $0.3 (approximately 0.75σ) from the average can maximize expected returns.

Source: Movemaker
3.5 From Static Models to Dynamic Reality: Multi-Timeframe Risk Management
The fatal flaw of the above model is that it assumes a constant mean. In real markets, the price mean drifts over time. Therefore, professional market makers must adopt a multi-timeframe layered strategy to manage risk.
The core of the strategy lies in using a micro-level (second-level) quantitative model to set the optimal spread while monitoring the drift of price means and changes in volatility structure at the meso-level (minute-level) and macro-level (hourly/daily). When the mean shifts, the system will dynamically recalibrate the central axis of the entire quoting range and adjust inventory positions accordingly.
This layered model ultimately leads to a set of dynamic risk control rules:
- When second-level volatility increases, automatically widen the spread.
- When mid-term volatility increases, reduce the size of individual orders but increase the number of order levels, spreading inventory across a wider price range.
- When long-term trends are contrary to inventory position, actively intervene, such as further reducing order sizes or even pausing strategies to prevent systemic risks.
Risk Response Mechanisms and Advanced Strategies
4.1 Inventory Risk Management in High-Frequency Market Making
The dynamic strategy model described earlier falls within the realm of high-frequency market making. The core objective of such strategies is to maximize expected profits by precisely managing inventory risk through algorithmically setting optimal buy and sell quotes.
Inventory risk is defined as the risk that market makers are exposed to adverse price fluctuations due to holding net long or net short positions. When market makers hold long inventory, they face the risk of losses from price declines; conversely, when holding short inventory, they face the risk of losses from price increases. Effectively managing this risk is key to the long-term survival of market makers.
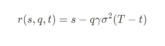
Professional quantitative models, such as the classic Stoikov Model, provide a mathematical framework for understanding their risk management logic. This model aims to actively manage inventory risk by calculating a dynamically adjusted "reference price." The market maker's bilateral quotes will revolve around this new reference price rather than a static market midpoint. Its core formula is as follows:

The meanings of the various parameters are as follows:
- r(s,q,t): The dynamically adjusted reference price, which serves as the baseline axis for the market maker's quotes.
- s: The current market midpoint price.
- q: The current inventory level. Positive if long, negative if short.
- γ: The risk aversion parameter. This is a key variable set by the market maker that reflects their current risk preference.
- σ: The volatility of the asset.
- (T−t): The remaining time until the trading period ends.
The core idea of the model is that when the market maker's inventory (q) deviates from its target (usually zero), the model systematically adjusts the quoting axis to incentivize market transactions that will bring the inventory back to equilibrium. For example, when holding long inventory (q>0), the calculated r(s,q,t) will be below the market midpoint s, meaning the market maker will lower its buy and sell quotes overall, making sell orders more attractive and buy orders less attractive, thereby increasing the probability of liquidating the long inventory.
4.2 Risk Aversion Parameter (γ) and Final Strategy Selection
The risk aversion parameter γ serves as the "regulator" of the entire risk management system. Market makers dynamically adjust the value of γ based on a comprehensive assessment of market conditions (such as volatility expectations, macro events, etc.). In stable markets, γ may be low, and the strategy leans towards aggressively capturing spreads; when market risks intensify, γ is raised, making the strategy extremely conservative, with quotes significantly deviating from the midpoint to quickly reduce risk exposure.
In extreme cases, when the market signals the highest level of risk (e.g., liquidity exhaustion, severe price dislocation), the value of γ can become very large. At this point, the optimal strategy calculated by the model may involve generating quotes that are extremely far from the market, making them almost impossible to execute. In practice, this equates to a rational decision—temporarily and completely withdrawing liquidity to avoid catastrophic losses due to uncontrollable inventory risks.
4.3 Complex Strategies in Reality
Finally, it must be emphasized that the model discussed in this article is merely an explanation of the core logic of market makers under simplified assumptions. In real, highly competitive market environments, top market makers employ far more complex, multi-layered strategy combinations to maximize profits and manage risks.
These advanced strategies include but are not limited to:
- Hedging Strategies: Market makers typically do not leave their spot inventory exposed to risk; instead, they establish opposite positions in derivative markets such as perpetual contracts, futures, or options to achieve Delta neutrality or more complex risk exposure management, transforming their risk from price directional risk to other controllable risk factors.
- Special Execution: In certain specific scenarios, the role of market makers transcends passive liquidity provision. For example, after a project TGE, they may sell large amounts of tokens over a certain period using strategies like TWAP (Time Weighted Average Price) or VWAP (Volume Weighted Average Price), which constitute an important source of profit.
1011 Review: Risk Triggers and the Inevitable Choices of Market Makers
Based on the analytical framework established earlier, we can now review the market upheaval of 1011. When prices exhibit severe one-sided movements, the internal risk management systems of market makers are inevitably triggered. The triggering of this system may be due to multiple overlapping factors: the average loss over a certain time frame exceeds a preset threshold; net inventory positions are "filled" by counterparties in the market within a very short time; or after reaching maximum inventory limits, they are unable to effectively liquidate positions, leading the system to automatically execute position contraction procedures.
5.1 Data Analysis: Structural Collapse of the Order Book
To understand the true state of the market at that time, we must delve into the microstructure of the order book. The following chart, sourced from an order book visualization tool, provides us with evidence:

Source: @LisaLewis 469193
(Note: For the sake of analytical rigor, please consider this chart as a typical representation of the market situation at that time)
This chart visually demonstrates the changes in order book depth over time:
- Gray Area: Represents sell-side liquidity, i.e., the total of limit orders waiting to sell above the current price.
- Blue/Black Area: Represents buy-side liquidity, i.e., the total of limit orders waiting to buy below the current price.
At the precise moment marked by the red vertical line at 5:13 AM, we can observe two simultaneous and unusual phenomena:
- Instantaneous Evaporation of Buy Support: A massive, nearly vertical "cliff" appears in the blue area at the bottom of the chart. This shape is completely different from the situation where buy orders are consumed by large transactions— the latter should show liquidity being gradually eroded in layers. The only reasonable explanation for this uniform vertical disappearance is that a large number of limit buy orders were actively, simultaneously, and en masse canceled.
- Simultaneous Disappearance of Sell Resistance: The gray area at the top of the chart also shows an almost identical "cliff." A large number of limit sell orders were actively withdrawn at the same moment.
This series of actions is referred to in trading terminology as "liquidity withdrawal." It marks the moment when the primary liquidity providers in the market (mainly market makers) almost simultaneously withdrew their bilateral quotes within a very short time, instantly transforming a seemingly liquid market into an extremely fragile "liquidity vacuum."
5.2 Two Phases of the Event: From Active Withdrawal to Vacuum Formation
Thus, the process of the 1011 crash can be clearly divided into two logically progressive phases:
Phase One: Active, Systematic Risk Aversion Execution
Before 5:13 AM, the market may still have appeared to be in a stable state. But at that moment, a key risk signal was triggered—this could have been a sudden macro news event or an on-chain risk model alert from a core protocol (such as USDe/LSTs).
Upon receiving the signal, the algorithmic trading systems of top market makers immediately executed the pre-set "emergency risk aversion procedure." The goal of this procedure was singular: to minimize their market risk exposure in the shortest time possible, prioritizing this over any profit objectives.
- Why cancel buy orders? This is the most critical defensive operation. The market maker's system anticipated that an unprecedented wave of selling pressure was about to arrive. If they did not immediately withdraw their buy orders, these orders would become the "first line of defense" in the market, forced to absorb a large amount of assets that were about to plummet, leading to catastrophic inventory losses.
- Why simultaneously cancel sell orders? This is also based on strict risk control principles. In an environment where volatility is about to spike dramatically, retaining sell orders also carries risks (for example, prices may experience a brief upward "false breakout" before a crash, causing sell orders to be executed at unfavorable prices). Under an institutional-level risk management framework, the safest and most rational choice is to "clear all quotes and enter observation mode" until the market re-establishes predictability, at which point strategies can be redeployed based on the new market conditions.
Phase Two: Formation of the Liquidity Vacuum and Free Fall of Prices
After 5:13 AM, with the formation of the order book "cliff," the market structure underwent a fundamental qualitative change, entering the "liquidity vacuum" state we described.
Before the active withdrawal, it might have taken a large number of sell orders to consume the stacked buy orders to cause a 1% drop in market price. However, after the withdrawal, due to the absence of the support structure below, it may only take a few sell orders to create an equivalent or even more severe price impact.
Conclusion
The epic market crash of 1011 was catalyzed and amplified directly by a large-scale, synchronized active liquidity withdrawal executed by top market makers, as revealed by the charts. They were not the "culprits" or initiators of the crash, but they were the most efficient "executors" and "amplifiers" of the collapse. Through rational, self-preserving collective action, they created an extremely fragile "liquidity vacuum," providing perfect conditions for subsequent panic selling, protocol decoupling pressures, and ultimately a chain of liquidations on centralized exchanges.
About Movemaker
Movemaker is the first official community organization authorized by the Aptos Foundation and jointly initiated by Ankaa and BlockBooster, focusing on promoting the construction and development of the Aptos ecosystem in the Chinese-speaking region. As the official representative of Aptos in the Chinese-speaking area, Movemaker is dedicated to building a diverse, open, and prosperous Aptos ecosystem by connecting developers, users, capital, and numerous ecological partners.
Disclaimer:
This article/blog is for reference only, representing the author's personal views and does not reflect the position of Movemaker. This article does not intend to provide: (i) investment advice or recommendations; (ii) offers or solicitations to buy, sell, or hold digital assets; or (iii) financial, accounting, legal, or tax advice. Holding digital assets, including stablecoins and NFTs, carries high risks, with significant price volatility, and they may even become worthless. You should carefully consider whether trading or holding digital assets is suitable for you based on your financial situation. If you have specific questions, please consult your legal, tax, or investment advisor. The information provided in this article (including market data and statistics, if any) is for general reference only. Reasonable care has been taken in compiling these data and charts, but no responsibility is accepted for any factual errors or omissions expressed therein.
免责声明:本文章仅代表作者个人观点,不代表本平台的立场和观点。本文章仅供信息分享,不构成对任何人的任何投资建议。用户与作者之间的任何争议,与本平台无关。如网页中刊载的文章或图片涉及侵权,请提供相关的权利证明和身份证明发送邮件到support@aicoin.com,本平台相关工作人员将会进行核查。

